Working with Radical Expressions


Remember you can access the radical symbol under the symbol

Estimating Radical Expressions
Using the radical symbols found under

you can quickly enter radical values for numerical approximations.

The digital display shown at the right is FLOAT, giving a decimal value to 12 places.



Evaluating Radical Expressions
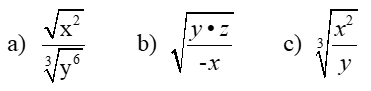
Using x = 2, y = -2, and z = 1.4, find the approximate value of:


Store the values for x, y, and z.
The "sto" command is above .

Showing in AUTO calculation mode.



Radical Arithmetic

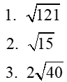
Estimate the value of:

These are estimates, not simplifications.

 

Simplifying Square Roots

The TI-Nspire CX II (non-CAS) will give you a numerical approximation for a square root, but it will not express the square root in simplified radical form, (unless radicand is a perfect square).

Numerical Approximation:
(or exact value when dealing with a perfect square)

Remember you can access the radical symbol under
the symbol .

The calculator can, however, "help" you to determine if the square root CAN be simplified,
and how to develop the simplification. Let's take a look at what can be done.


Calculator HELP for simplifying:

The calculator can "help" when simplifying a square root, by examining the factorization of the radicand (number under the radical).

The objective is to look for factors that create perfect squares and use them to create the number in front of the square root symbol. Thus, you are taking the square root of the perfect squares.

Keystrokes:           #2 Number     #3 Factor   

  


CAS version: The CAS version of the calculator will be
capable of giving the simplified radical in radical form.
TBA

 

Use Calculator to CHECK your work

If you simplified your radical by hand, let's check your answer on the calculator. Type the question and the answer as being equal and see if the calculator tells you the result is TRUE (meaning your simplification is correct)!

BUT ...

Notice the 4th entry WARNING! The entry is TRUE, but the calculator is saying FALSE. The calculator will display a pop-up that says "Result obtained using approximate arithmetic."

So, if you are using this "equation" approach for checking, and you get a "false" result, look further. Try typing each entry separately and check assigned decimal values. Place the calculator setting on FLOAT to get largest possible decimal result.


This can be problematic, so be careful.

If each side of the equation is entered separately, there appears to be no problem out to 10 decimal places.


Why is this "Warring" happening? The TI-NSpire (not CAS) uses what is called "floating-point arithmetic" to compare "approximate arithmetic" results. This process can sometimes be problematic, especially when dealing with irrational numbers. Because the calculator is dealing with non-ending decimal values, there are bound to be rounding and precision limitations, and potential errors.

CAS version: The CAS version of the calculator will be capable of
giving exact answers in radical form, avoiding this problem.
TBA


Cube Root Function




The calculator will also yield numerical approximations when working with cube roots.

Under SETTINGS, set the decimal display to FLOAT to see the maximum allowance after the decimal point. Or set the allowance to a smaller specific value. The display below shows an allowance of 4 decimal places.

Getting numerical results:

The same factorization strategy can also work for simplifying cube roots.
The difference is that this time you will be looking for perfect cubes instead of perfect squares.

Calculator HELP for simplifying:

The calculator can help when simplifying a cube root, by examining the factorization of the radicand (number under the radical).

The objective is to look for factors that create perfect cubes and use them to create the number in front of the cube root symbol. Thus, you are taking the cube root of the perfect cubes.

Keystrokes:          #2 Number     #3 Factor   

 


divider
Table of Contents | MathBits.com | Terms of Use

Table of Contents MathBits.com Terms of Use TI-84+ Web Site